随着找矿勘探向深部覆盖区推进,传统地球化学方法面临干扰因素多、异常漂移远、反映深度有限等技术瓶颈,难以有效识别深埋隐伏矿体。针对国家深地探测战略需求,湖南省地球物理地球化学调查所及其地球化学过程与资源环境效应湖南省重点实验室,在省地质院、自然资源厅多个科研项目的支持下,研发深穿透地球化学方法- 非晶质锰吸附解析法,为南方厚覆盖区隐伏矿勘查提供新思路。
一、技术研发
2016年至今,通过实施《非晶质锰吸附解析法研究与找矿应用》、《非晶质锰吸附解析法金异常形成机理与深部找矿应用》、《深穿透地球化学方法对隐伏型金矿异常来源判识研究》等项目,系统开展隐伏型金矿酶提取法指示效应研究,创新性地在国内系统探讨酶制剂活性浓度、用量及土壤粒径等关键控制因素,同步研发出选择性提取方法-非晶质锰吸附解析新法,形成野外及室内提取技术作业规程。
取样及室内提取
二、技术原理
非晶质锰吸附解析法,是利用葡萄糖氧化酶提取矿物颗粒表面的非晶质锰的氧化膜,寻找隐伏矿的方法。该方法优势之一为选择性提取特性,提取测试的是某种微量元素运移到表层中的含量,而不是表层样品中该元素的总量。方法优势之二为自限性反应特性,当所有非晶质二氧化锰都已反应,酶的作用即刻停止,不会进一步去溶解晶质铁锰氧化物,提高了异常的可靠程度。
元素提取特征
三、技术效果
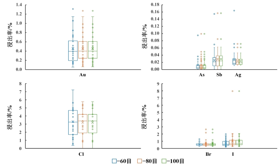
在平江县万古金矿区开展试验,结果显示,非晶质锰吸附解析法提取获取的Au、Ag、As等7项指标表现出高变异系数特征,佐证该方法对矿致异常的捕获敏感性;元素空间分异特征中Au-Sb-As正相关群组有效揭示隐伏矿化元素共生规律;方法浸出率呈现显著元素特异性,浸出率总体呈现卤族元素、贵金属、半金属元素逐渐降低的特征,且与矿体在垂向上有一定的耦合关系,对隐伏矿指示效果良好。
该方法对1000m以内的硫化物矿床与贵金属矿床的探测有效性已获多国勘查实例验证。(文/朱丽芬)

不同粒径元素浸出率特征

方法效果对比
湖南省地球物理地球化学调查所


